软件测试习题

1. 题目

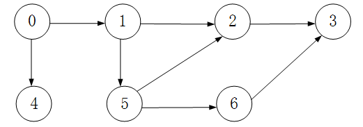
对于下面的有向图,其邻接矩阵是一个 ( 1 ) 的矩阵。 采用邻接链表存储时,顶点 0 的表结点个数为 2,顶点 3 的表结点个数为 0,顶点 1 的表结点个数为( 2 )。

有向图

1

A. 3×4

B. 4×3

C. 6×6

D. 7×7

2

A. 0

B. 1

C. 2

D. 3

2. 答案

点我看答案

D C

© 2020 曾润平. All rights reserved.

结果匹配 ""

    没有匹配的结果 ""